Lucilla Piccari · @LucillaPiccari
271 followers · 1755 posts · Server med-mastodon.com

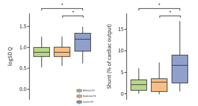
COPD pts w severe PH had worse Q dispersion (=Q variability, shown by higher LogSDQ, DISP R-E & curves not overlapping) and increased shunt (blood that is not in contact with air spaces).
Interstingly, Dantzker & al also found increased shunt in pts w and in 1979
6/11

#PAH #CTEPH

Last updated 2 years ago

Critical Concepts · @critconcepts
66 followers · 49 posts · Server med-mastodon.com

Pneumonia with sepsis, coming to the ICU? No problem. But what if they have known and walk around on riociguat? Now we're getting complicated. A great chat.

#CTEPH #medtwitter #FOAMcc #FOAMed #PulmCC

Last updated 3 years ago