New #openaccess publication #SciPost #physics
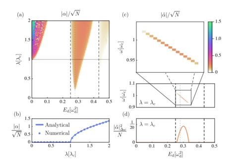
Floquet engineering of non-equilibrium superradiance
Lukas Broers, Ludwig Mathey
SciPost Phys. 14, 018 (2023)
https://scipost.org/SciPostPhys.14.2.018
#openaccess #SciPost #physics #HamburgUniversity #HamburgUltrafastImaging
New #openaccess publication #SciPost #physics Core
On the generality of symmetry breaking and dissipative freezing in quantum trajectories
Joseph Tindall, Dieter Jaksch, Carlos Sánchez Muñoz
SciPost Phys. Core 6, 004 (2023)
https://scipost.org/SciPostPhysCore.6.1.004
@dfg_public #OxfordUniversity #FlatironInstitute #InstitutLaserphysik #HamburgUltrafastImaging #UniversidadAutónomaMadrid #ComunidadMadrid #EPSRC
#Horizon2020 #laCaixa
#openaccess #SciPost #physics #OxfordUniversity #FlatironInstitute #InstitutLaserphysik #HamburgUltrafastImaging #UniversidadAutónomaMadrid #ComunidadMadrid #EPSRC #Horizon2020 #laCaixa